Todays section is all about Permutation and Combination.  
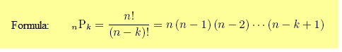
The number of permutations of a set of n element is denoted n! A permutation of a finite set a1 a2 an is an arrangement of its elements. For example, if S= A B C then ABC , CAB , CBA are three different permutations of S . Permutation means arrangement of things. The word arrangement is used, if the order of things is considered. The permutation formula is given as:-

Combination means selection of things. The word selection is used, when the order of things has no importance.
There are two types of combinations
Combinations with Repetition: Actually, these are the hardest to explain, so I will come back to this later.
Combinations without Repetition: This is how lotteries work. The numbers are drawn one at a time, and if you have the lucky numbers (no matter what order) you win!
Solving Linear combination associates with the families of vectors called vector spaces, and with functions contain one input vector and output vector, according to definite rules. Linear combination deals with the theory of systems of linear equations, determinants, linear transformations, vector spaces and matrices.
The number of permutations of a set of n element is denoted n! A permutation of a finite set a1 a2 an is an arrangement of its elements. For example, if S= A B C then ABC , CAB , CBA are three different permutations of S . Permutation means arrangement of things. The word arrangement is used, if the order of things is considered. The permutation formula is given as:-

Combination means selection of things. The word selection is used, when the order of things has no importance.
There are two types of combinations
Combinations with Repetition: Actually, these are the hardest to explain, so I will come back to this later.
Combinations without Repetition: This is how lotteries work. The numbers are drawn one at a time, and if you have the lucky numbers (no matter what order) you win!
Solving Linear combination associates with the families of vectors called vector spaces, and with functions contain one input vector and output vector, according to definite rules. Linear combination deals with the theory of systems of linear equations, determinants, linear transformations, vector spaces and matrices.
 
No comments:
Post a Comment